护甲和全抗是《暗黑破坏神3》中对坚韧不能忽视的两种属性,但是有些装备上只能在护甲和全抗中选择一项,那么我们该选择护甲还是全抗?下边就给大家带来暗黑破坏神3护甲全抗收益详解,大家可以来了解一下。
护甲全抗收益详解
前言:
最近有些帖子谈到护甲抗性的关系,总是会提到保持10比1黄金收益等,
所以就有人认为,护甲大于10比1就加全抗,小于10比1就加护甲,尽量把护甲和全抗的比掰成10比1,真的是这样吗?
第二章论述的是所有(y=ax+b)的线性收益两两相乘的关系,要远比全抗和护甲关系复杂得多,适用于所有线性词缀,涵盖加点,拐点,极限等等,信息量很多,不容易理解,感兴趣的朋友可以看下,建议大家直接跳到第三章
第三章红色字的部分是结论。
(事实上这篇帖子的真正结论是构建一套体系公式,所有的线性收益词缀关系都可以直接套公式用。不过你们应该都不感兴趣,我就不用当作结论标出了。)
目录
一 基本公式和收益概念
1.全抗护甲的减伤计算
2.Ehp计算公式(线性收益)
3.收益概念
二 收益的公式推导与分析
1.k(N)值的推导(一点全抗=几点护甲等)
2 .X(中)值的推导(最佳加点方式)
三 结论与实际案例运用
1结论
2三种比较词缀收益大小的方法
3.K(N)值的结论与运用
(1)各个坚韧收益之间的k(N)值公式(全抗护甲体能等)
(2)暴击爆伤的运用
(3)护甲全抗体能的运用
(4)(几点体能下(15%大于1000体能)等)
4.x(中)值得结论和运用
(1)各线性收益x(中)值公式
(2)坚韧向:如何打卡和加点
一 基本公式和收益概念
1.全抗护甲的减伤计算
(1)护甲
护甲减伤=面板护甲/(面板护甲+3500) 护甲为全减伤。
面板护甲=(自身基础+装备+主属性+技能等带来的直接护甲加成)*(1+0.25(巅峰)+其他护甲收益百分比之和)-(比如岩石护手+2.5,阿卡拉-先知化身+1.5等)
简单的说面板护甲=直线性护甲加成之和*百分比护甲加成之和.-----(所有带+号的护甲之和 * 所有带%的护甲之和)-----
1点主属性(力量,敏捷)=1点护甲。
(2)全抗
全抗减伤=面板全抗/(面板全抗+350)
单抗是对该元素的伤害减伤,
全抗包括物抗等六种抗性,因为所有的攻击都包含在这六种属性里,
和护甲一样。也是全减伤,
面板全抗=面板所有单抗之和/6
某个单抗=(自身基础+装备+主属性+250(巅峰)+技能等带来的直接抗性加成)*(1+所有单抗收益百分比之和)*(1+所有全抗收益百分比之和)
简单的说面板全抗=直线性抗加成之和*百分比抗性加成之和-----(所有带+号的全抗之和 * 所有带%的全抗之和)-----
10点智力=1全抗。
2.Ehp计算公式(线性收益)
不同类型的减伤之间相乘,相互递减。
减伤对坚韧的增值=1/(1-减伤)
全抗对坚韧增值=1/(1-全抗/(全抗+350)=(全抗+350)/350
全抗对坚韧增值=1/(1-护甲/(护甲+3500)=(护甲+3500)/3500
血量=(316+100*体能)*(1+0.25(巅峰)+生命百分比)
Ehp=血量*各类减伤收益
EHP=(316+100*体能)*(1+0.25(巅峰)+生命百分比)*(3500+面板护甲)/3500 *(350+面板全抗)/350 * 其他减伤相乘
我们单独看护甲,其他都减伤都是定值的情况下
Ehp=(3500+面板护甲)/3500 *其他,(其他/3500)可以看成一个整体
Ehp=(3500+面板护甲)*其他
看得出来,其他都是定值的情况下,ehp就是护甲的线性函数。
就是只增加护甲的话,ehp随着护甲的增加而增加,而且为一条直线。
同理,对于ehp其他的线性函数为我们用S(词缀)表示
s(护甲)=(3500+护甲)
S(全抗)=(350+全抗)
S(体能)=(316+100体能)
S(生比百分比)=(1+0.25(巅峰)+生命百分比)
3 关于收益
Ehp的收益
在其他值都是定值的情况下,
Ehp=(3500+护甲)*定值Q,每增加一点护甲,ehp增加量都是1*定值Q
但对于收益来说,就不是这样了。
比如,0点护甲时,坚韧为100,护甲为1000时,坚韧为1万,每加一点护甲,都能增加100坚韧,对于0点护甲时,坚韧增加为200,200/100,收益就为100%。对于1000体能这点,坚韧比为10100/1000,收益1%不到。收益会随着护甲值的提高而变小。所以,谈到收益,我们必须是和哪具体哪一个点进行比较。
坚韧词缀收益计算表。
(1)填入当前面板上的护甲,体能等,生命百分比等,比如你巅峰有+25生命百分比,其他装备没有,那你面板至少有25%,写25。(2)你的技能增加多少%护甲,在护甲技能增值%下面填多少。比如,蛮子h90吼+40%护甲,就填40,岩石护手5层就填250,两个都有就250+40=290
(3)你的技能增加多少%全抗,在全抗技能增值%下面填多少。比如,尹娜2件+40%全抗,就填40.
(4)1全抗=?护甲,表示当前面板护甲和全抗下,加一点全抗=几点护甲。
(5)比较2条词缀,就直接看收益%这栏,谁的值大选谁。
(6)比较2个词缀的成长收益,也可以看拐点,比如1000体能和130全抗,你就看拐点,当你有8000点体能,全抗拐点725.3;当你有1357点全抗时,体能拐点13127.6,意思就是说在1357全抗下,你的体能要大于13127,加130全抗才大过体能。其他词缀同样方法看。
(7)带颜色的填不了,不带的可以填
表在附件里(网盘下载)密码:oupe
二 收益的公式推导与分析
(1)10比1真的都适用吗?反例
在前面提到,有人认为护甲全抗10比1是最佳比,认为暴击爆伤10比1也是最佳比。尽量往10比1上靠。
那我们举个列子
暴击爆伤 伤害公式=(1+暴击*爆伤%),单看暴击与爆伤的关系,两者对dps增伤是线性的。
现有面板暴击45,爆伤430,有个戒指只能洗爆伤或者暴击中的一种。那洗哪个呢?爆伤/暴击=9.556小于10的,肯定加爆伤啦。而实际是这样的吗?戒指可以洗6暴击,50爆伤
带入公式:
加6暴击=1+0.51*430%=3.193
加50爆伤=1+0.45*480%=3.16
明显加暴击比爆伤收益高,导致这个结果主要是
一条词缀6暴击和50爆伤不是10比1的关系
(2)计算线性坚韧的前提条件
对于ehp=(316+100*体能)*(1+0.25(巅峰)+生命百分比)*(3500+面板护甲)/3500*(350+面板全抗)/350*其他减伤相乘
如果只有护甲和全抗变化,其他都是定值的话,我们可以把ehp写成
EHP=(3500+护甲)(350+全抗)*定值Q
我们只要研究(3500+护甲)*(350+全抗)之间的关系了
令z=(a+by)(c+dx)y为护甲的增量,x为全抗的增量,a,b,c,d都是常数。
(这里用护甲,全抗的说法只是为了让大家好理解,实际上,对所有的一次函数收益的词缀,体能,生命比,暴击,爆伤,智力,元素伤等等,统统适用,所以我们设了一个比护甲全抗更为复杂得多的线性方程,推出其中的普遍规律)
因为是比较两者的收益,增加一点增量y(护甲),增量z和当前全抗有关系,我们要根据当前面板的全抗和护甲才能计算收益。谈到2者的收益,就要有一次成本里(一个成本的意思是:一条词缀,一个巅峰点,打一个卡等),全抗和护甲收益的比值,抛开两者收益比来比较全抗和护甲的收益那是没有意义的。
比如说:我是力量职业,护甲很高,一条词缀能加10点全抗,但是却能加1亿点护甲,那肯定选加护甲啊。所以:抛开当前面板全抗和护甲,以及护甲全抗收益比这两点谈的收益,都是耍流氓。
所以,我们的讨论都是基于两点:
1 当前护甲,全抗具体是多少。(当前护甲,全抗为定值)
2 一次成本里护甲和全抗的比值k是多少 (k=单次成本的护甲/全抗,比如一条词缀130全抗,775护甲,被巅峰+25%加成=968.7护甲. k=968.7/130=7.45)
z=(a+by)(c+dx)是相当于0全抗,0护甲的通式,
当前护甲,全抗固定时
依然可以用,
z=(a+by)(c+dx)表示。(b,d为常数,代表y,x的斜率)
只是常数a,c的值变为:
a=(a(0)+b*面板护甲)=S(当前护甲)
c=(c(0)+b*面板护甲)=s(当前全抗)
(a(0)为y在0点时的常数,比如护甲在0点是为3500,c(0)则代表x在0点时常数,如全抗为350)
比如护甲公式(3500+护甲),0点的时候a=3500. 1000点护甲的时候,a=3500+1*1000=4500.
a值是关于护甲的一次函数,c值是关于全抗的一次函数。
(3) K(N)值的推导(一点全抗=几点护甲等)
什么情况下增加一条x(全抗),和增加一条y(护甲)的收益是一样的?
对于z=(a+by)(c+dx)
这个函数图像是怎样的呢?一个x,y,z为坐标的三维图,是一张膜,大概是这样的
(网上找的,类似这样的)
我们可以对函数进行x,y求偏导数,令2个偏导数在这点相等可以算出。但是这样有人不太能理解,以下我就用初高中能学到的知识来做推导。
令y/x=k,y=kx(最好都是设数值小的为分母,好计算)
坚韧在0点(相对的)时(x=0,y=0)为z=ac
如果加一点y和加一点x ,收益相等。
则令
((a+bkx)*c)/ ac=((c+dx)*a)/ac(这公式就是增加一点y等于增加一点x的收益)
(1+bkx/a)=(1+dx/c)。bkx/a表示的意思就是加一点y的收益%,dx/c表示加一点x的收益%
最后推出k=ad/bc。令这个特殊点的k值为K(N),
则:
K(N)=ad/bc
a=(a(0)+b*面板护甲)=S(护甲护甲)
c=(c(0)+b*面板护甲)=s(当前全抗)
K(N)也可以写成=S(当前护甲)*d/S(当前全抗)*b
K(N)表示,在当前护甲和全抗下,加1点全抗和1*K(N)点护甲收益是一样的.
(a(0)为y在0点时的常数,比如护甲在0点是为3500;c(0)则代表x在0点时常数,如全抗为350)
(b为y的斜率,d为x的斜率,都为常数),s(当前护甲)为护甲的线性公式=3500+当前护甲。
举例:现在面板 10000护甲,1500全抗。算出K(N)=(3500+10000)/(350+1500)=7.297
意思就是1点全抗=7.297点护甲
如果一条词缀加y大于加x的收益
则有:((a+bkx)*c)/ ac > ((c+dx)*a)/ac(这公式就是增加一点y大于增加一点x的收益的意思)
k > ad/bc=k(N)
反之x收益大于y
则公式推出:k<k(N)
即:k>k(N)时,加分子(护甲)收益大
k<k(N)时,加分母(全抗)收益大(子大母小)
道理其实很简单,比如1美元能换6人民币,有一张1美元和一张10人民币,肯定选10人民币。1张1美元和1张5人民币,肯定要1美元。
对增加加一点y的收益%和增加一点x的收益%进行比较
y%收益 / x%收益=(bkx/a) / dx/c 推出,y%收益 / x%收益 =k/K(N)
如果x增加的收益为A%,则y增加的收益为 K/K(N) *A%
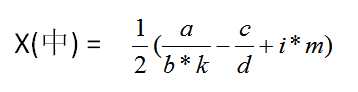
(4) x(中)值的推导及其延伸分析
假如有m条词缀,一条词缀要么洗全抗,要么护甲,怎样加点才能收益最大呢?
我们看公式
z=(a+by)(c+dx)
x为加了多少点全抗,y为加了多少点护甲(也可设x为几条词缀加给全抗,但为了在逻辑上能更好的理解,我们用更复杂的i ,j表示)
(i为一条词缀能加i点x;j为一条词缀能加j点y;k=j/i表示加一点x能加k点y;m为总共多少条词缀;z=(a+by)(c+dx)为x,y公式,a,b,c,d都为常数)
设一条词缀能加i 点x,能加j点y,k=j/i
x/i =有多少条词缀加给x(比如x=260,i=130,x/i=2,说明有2条词缀加给x)
y/j =有多少条词缀加给y
(x/i)+(y/j)=m m为常数。
就有x+y/k=i*m,y=k(i*m-x)
把y带入z=(a+by)(c+dx)
就有
z=-bkdx^2+(ad-bck+bdkim)x+bckim+ac
这是一条抛物线,-bkd是小于0的,所以开口向下
大概长这样:
(网上找的,类似这样的,图里面的y应该是Z)
有一个顶点,(设:x(中)为这抛物线的顶点的横坐标,z(max)为顶点的纵坐标)
顶点坐标为:
Z(max)/ac就是收益百分比。也可以写成关于k(a>0)的对勾函数等
这个收益增量百分比为
这里就不讨论了。
则表示全抗增加了X(中)点时,坚韧收益最大!意思就是把x(中)/i条词缀加给x,剩下的词缀加给y。
如果x(中)算得是负数,则表示全部词缀都加y,
则坚韧收益最大。
如果无限次加点,i*m趋向无穷大,由公式看,最终护甲/全抗趋向于k(不过以意义不大,毕竟不能无穷加点)
如果k正好等于K(N)值呢?
则有x(中)=(a/b*k-c/d+i*m)/2,把K(N)=a*d/b*c带入
算得x(中)=i*m/2,意思就是x,y的词缀数对半分。
K=K(N)时,x,y词缀数各取一半,x,y的词缀数量相等
保持一条加x,一条加y,在一条x,再一条y,反复相加。
收益最大。
如果k不等于K(N),什么时候会有拐点,比如之前一直加x收益大
到了拐点则变成加y收益大呢?
我们看x(中)=(a/b*k-c/d+i*m)/2,这个公式,
要使得全部词缀都加y,则有x(中)<0 x(中)=0为一个拐点
要使得全部词缀都加x,则有x(中)>i*m x(中)=i*m为一个拐点
(拐点也可以从百分比增值公式推出,这里研究加点过程规律)
把x(中)拆分成2个式子a/b*k-c/d和i*m。(i表示一条词缀加i点x,m为最多加几条词缀。i*m表示的是最多能给x加多少个点,让它从0慢慢增大,研究规律)。
当i*m=0 , a/b*k-c/d<0时,推出k>ad/bk,即k>k(N)时,加y收益大。i*m逐步增大,x(中)就越来越往0这个点靠,y越来越多,k(N)值变得越来越大,最后当x(中)=0时,推出k=k(N拐)(拐点的k(N)值,不是之前的了),这就是一个拐点。
后续增加i*m,也不会在出现新的拐点。
有x(中)>i*m ,推出当a/b*k-c/d > i*m时,全部加x收益最大, x(中)=i*m为一个拐点
当 a/b*k-c/d>0,i*m=0时,推出k<ad/bk,k<k(N)时,a/b*k-c/d>i*m(i*m这时为0,后面让它逐渐增大),加x收益大.i*m逐步增大,x(中)就越来越往i*m这个点靠,x越来越多,k(N)值变得越来越小,最后当i*m增大到和a/b*k-c/d相等时,推出k=k(N)(拐点的k(N)值,不是之前的了),x(中)=(2i*m)/2=i*m.这就是一个拐点。
后续增加i*m,也不会再出现新的拐点。
这两个拐点都可以用公式推出,
x(拐)=(a/bk-c/d)如果x(拐)算得是负数,则把(-x(拐)/i)条词缀加y,出现拐点。如果x(拐)算得正数就是把(x/i)条词缀给x,出现拐点。
当前(全抗)+ x(拐)=拐点全抗
当前(护甲)- kx(拐)=拐点护甲 (x(拐)为负数时))
X(拐)是关于k,当前护甲和全抗的函数,当前面三个给定了之后,就是个定值。与要加多少点(i*m无关),x(拐)也可以由k(N),k算出。这里就不发散。
也可公式推出2x(中)-i*m=x(拐)
实际上,x(中),x(拐)和k(N)都可以互相表示计算推出,这里也不发散讨论了。
拐点和K(N),K有着简单的关系:
S(y拐)/S(y)=K/K(N)
S(x拐)/S(x)=K(N)/K
总结下最优化加点的过程是这样的:
如果某一点K<K(N),加x(全抗)的收益大。先加x(全抗),随着x(全抗)的增加,分母增大,K(N)值就会越来越小,向K值靠近。当x增加到拐点时,K(N)就会等于K,这个时候,就会一点给x,一点给y,反复循环加点。如果反过来加y也是一样的道理。
意思就是最佳加点过程,总是先使K(N)趋向于K,当加点到拐点的时候,K(N)=K,
之后就是加1点成本给y,再加1点成本给x反复循环。无穷加点y/x的极限为k。
也可以用这方法推出多个线性收益的最佳加点。比如有几个属性,先加最值钱的,当贬值到和第二值钱的相等,1:1加。在贬值到第三值钱的,1:1:1加。依次类推,具体的这里不发散讨论了。
举个例子:
:一个雕炸天的奈飞天,现有面板护甲3万点,全抗1500点,1点全抗可以换8点护甲,即K=8 . 算得K(N)=18.1 k小于K(N),加分母(全抗)的收益高。随着全抗的增加,K(N)逐渐变小,向k=8靠近。由x(拐)或K(N拐)都可以算出,拐点为3837.5,当全抗增加到3837.5的时候,就+8点护甲,+1点全抗,+8护甲,+1全抗反复加点。继续无穷加点的话,护甲/全抗的极限为k=8.
我们看看所谓的10比1黄金比例,最平衡的方法
就是:面板护甲/面板全抗总是10比1.加点也是10/1
K(N)=(3500+面板护甲)*1/(350+面板全抗)*1=(3500+10全抗)/(350+全抗)=10/1
加点保持10/1就是k=10
K(N)=K=10/1
上面说了K=K(N)时,x,y词缀数相等,收益最大。
所以一直保持K=10比1的循环加点收益最大!
10比1黄金加点的成立前提就是,(1)K(N)=10,(2)K=10,这两者缺一不可!
实际上,因为巅峰和装备的原因,大部分的情况都不会出现两个都是10比1的,
所以,不要再迷信什么10比1,具体案列具体分析!
三 结论与实际案例运用
看结论先理解下2个关键词
1.K(N)--表示在某点,加一点全抗和k(N)点护甲收益相等。K(N)(护甲/全抗)=(3500+当前护甲)/(350+当前全抗)
2.K------表示一条词缀里,一点全抗能换K点护甲。
任何计算收益都要有2个前提:
1.当前全抗,当前护甲是多少
2.护甲和全抗收益比是多少(k是多少)
缺一不可!
1结论
常识结论:
哪大找哪,缺啥补啥。(如体能有650,1000几种,在有1000体能的装备上找一般是没错的。)
1.力量敏捷职业一般护甲高,抗性低。加全抗比较好。
2.智力职业一般抗性高,护甲低,加护甲比较好。(缺啥补啥)
3.如果爆伤/暴击相差10比1很远的话,可以粗略用往10比1上靠,离10比1近的话,具体分析。
4.(注意:这种情况属于极少数)如果你的护甲/全抗在5-11之间,请根据具体情况考虑。
一般装备的护甲/全抗在5-11之间(k在5-11之间),巅峰不高的奈飞天,当护甲/全抗小于4,可以无脑选护甲,
当全抗/护甲大于12,可以无脑选全抗。
推导结论(想明白为什么不再信10比1可以看下,不关心可以跳过)
1.当K(N)=K时,保持K比1的加点,坚韧收益最高。(例如有4条词缀,K(N)=K=8,2条给全抗,2条给护甲,保持护甲/全抗=8比1的情况收益最高)
(特殊例子。护甲/全抗等于10比1,k也是10比1,算得K(N)也是10比1,则继续保持10比1,收益最高)
(黄金加点10比1是特殊情况,高巅峰存在,装备不平衡等情况会导致护甲/全抗会远离10比1,很多时候不会两个都不同时是10比1,所以不要再盲目迷信10比1.)
2.当K(N)不等于K时,最大收益加法都是使得K(N)向K值靠近。而不是往10比1靠近。(比如某点K(N)=11,K=8,那收益大加点方法都是使得K(N)变小,向k=8靠近,加的多,会跨过10比1,向8比1靠近)
3.如果加全抗的收益为A%,则加护甲的收益为K/K(N) * A%(比如加全抗10%的收益,K=10,K(N)=6,则加护甲收益为10/6 *10%=16.667%)
4.k>k(N)时,加分子(护甲)收益大.k<k(N)时,加分母(全抗)收益大(子大母小)
5.当K(N)加点变为和K值一样的时候,为拐点,此后保持护甲/全抗为k的加法收益最大。
6.无穷保持K加点的话,护甲/全抗的极限为K
2三种比较词缀大小的方法
发现有不少朋友不会算收益,这里我说下2词缀收益比较算法。
比较2个词缀收益大小的话,一般有3种方法:
1百分比收益法。直接带入原来收益公式,算出增值百分比,然后进行比较
2交叉相乘法。增加的护甲*(当前全抗的公式),增加的全抗*(当前护甲的公式),进行大小比较
(感谢41楼又是夏雨天老哥提示的方法)
3K(N)比较法。算出这点的护甲/全抗值。在把护甲换算成全抗,进行比较。
案列1.一个在hc游荡巅峰不高的奈非天,现有全抗1000点,护甲7000点,喜得一太古护腕,洗130全抗好还是516护甲好。
不要傻傻地计算后再洗,直接洗了看就好了!!
我们还是来计算下,让大家懂得怎样算收益。
516护甲可以被巅峰放大为645点护甲.
(1)百分比收益法。加645护甲的收益百分比为645/(3500+7000)=0.0614
加130全抗收益百分比变为130/(350+1000)=0.0963,洗130全抗好
(2)交叉相乘法。加130全抗为130*(7000+3500)=1365000 ,加645护甲为645*(350+1000)=870750,洗全抗好
(3)K(N)比较法。K(N)=(3500+7000)/(350+1000)=7.778 130全抗相当于130*7.778=1011点护甲,洗全抗好。
这个案例中,可以看到护甲/全抗=7比1(极少出现,但是存在),按照10比1的理论,不应该是加护甲的吗?实际加的是全抗。
就因为护甲和全抗获取比不是10比1,所以不要什么都往10比1上套!
我们可以算出k=645/130=4.96 ,K(N)则为7.78. K(N)要往k上靠,而不是往10比1上靠。
所以加全抗,分母变大,K(N)整体变小!
3 K(N)值的结论与运用
直接给出公式:
护甲/全抗--------- K(N) =(3500+当前护甲) / (350+当前全抗)
体能/全抗 ---------K(N) =(316+100当前体能)/ 100*(350+当前全抗)
体能/护甲----------K(N) =(316+100*当前体能) / 100*(3500+当前护甲)
体能/生命百分比---K(N) =(316+100*当前体能) / 100*(1+0.25+当前装备生命百分比)
全抗/生命百分比---K(N) =(350+当前全抗) / ( 1+0.25+当前装备生命百分比)
爆伤/暴击----------K(N) = 爆伤/暴击
(2)暴击爆伤的运用
案列2 上面提到的一个碉堡的奈飞天现有面板430爆伤,45暴击,戒指洗6暴击还是50爆伤好?
百分比收益:(45+6)/45=1.1333 (430+50)/430=1.116 暴击收益高。(注意仅限于暴击爆伤之间比较才可以怎么算,且不是实际的收益)
交叉相乘法:6*430=2580,45*50=2250.洗6暴击收益大
K(N)比较法:K(N) = 爆伤/暴击=430/45=9.556,暴击=6*9.556=57.3爆伤,洗暴击更值钱
(3)护甲全抗体能的运用
案列3 一个碉堡的奈飞天面板体能6000,全抗1300,护甲23000。
现有一双破鞋,体能650,全抗130,护甲516,要把其中一条洗技能伤,不考虑后续巅峰加点的情况下,洗哪条?
只用K(N)来算,其他方法大家可以自己计算下。
K(N)(体能/全抗)=(316+100*6000)/100*(350+1300)=3.638
650体能等价于=650/3.638=178.6全抗
K(N)(护甲/全抗)=(3500+23000)/(350+1350)=14.32
516护甲等价于=516*1.25*(巅峰+25%护甲)/14.32=45.04全抗。
护甲最不值钱,洗护甲。
一般来说,装备上护甲/全抗的比值k在(4.96-10之间)
智力职业一般全抗高,k(N)小,所以加护甲收益高
力量,敏捷职业一般护甲高,k(N)大,所以加全抗高
案例4 一个碉堡的奈飞天面板全抗1400,护甲25000,
比较下太古裤子上775护甲+一条210单抗和一条130全抗哪个收益高,
拐点是多少?
210单抗对坚韧的贡献可以看成210/6=35点全抗。K=775*1.25 /(130-35)=10.197
相应的面板全抗0点相对变为1400+35=1435
K(N)算得=15.97, k<k(N),加全抗。
当k(N拐)=K时,为拐点
(3500+25000)/(350+拐点全抗)=10.197
算得:拐点全抗=2795点,因为是相对加了35全抗的,
所以面板拐点全抗=2795-35=2760。
(这个拐点的意思是你有25000护甲前提下,只要是看到775护甲+一条210单抗和130全抗比较的话,可以一直选130全抗,直到加到2760点全抗为止)
(4)(几点体能下(15%生命大于1000体能)等)
案列5 一个碉堡的奈飞天身上的体能大于多少点的时候,一条+15%生命大于1000体能的收益?
其实这就是求拐点的意思。
假设身上装备没有生命百分比词缀,只有巅峰+25%的生命加成。
生命百分比收益大,说明得
体能/生命百分比 K<K(N) k<(316+100当前体能)/ 100*(1+0.25),推出:
当前体能>(125k-316)/100 (这里我是设100%生命为x,也可以设为x%,)
(如果装备原来有一条+15%,就把上面的125k换成140k,依次类推)。
如果是1000体能和15%比较,就是k=1000/0.15,依次类推。
装备没有生命百分比词缀情况下:
15%大于1000体能---当前体能>8330
15%大于650 体能----当前体能>5413.5
18%大于1000体能---当前体能>6941.3
23%大于1000体能---当前体能>5431.6
身上有一条15%的情况下
15%大于1000体能---当前体能>9330
15%大于650 体能----当前体能>6063.5
18%大于1000体能---当前体能>7774.6
23%大于1000体能---当前体能>6083.8
4 x(中)值的结论和运用
x(中)=(a/b*k-c/d+i*m)/2
a=(a(0)+b*面板护甲)=S(护甲护甲)
c=(c(0)+b*面板护甲)=s(当前全抗)
(a(0)为y在0点时的常数,比如护甲在0点是为3500;c(0)则代表x在0点时常数,如全抗为350)
(b为y的斜率,d为x的斜率,都为常数;i表示一次成本能加几点x,k表示一点x能换k点y,m表示总共有多少个成本)
x(中)值表示,如果有m条词缀(成本),每条词缀能加i点x,且k固定;
则把x(中)点的加给x时,坚韧收益最大!
x(中)如果是负数,则表示吧m条词缀全部加给y,收益最大
(1)各线性收益x(中)值公式
护甲/全抗 x(中)=((3500+当前护甲)/k-(350+当前全抗)+i*m))/2
体能/百分比 x(中)=((316+100*当前体能)/100k-当前生命百分比+i*m)/2
(2)坚韧向:如何打卡
案列5 一个碉堡的奈飞天是个万年辅助,面板全抗1500点,护甲13000点,
巅峰就只加体能,现有13个100级的宝石要打卡,就只想打智力或力量的卡,
问怎样打卡才使得坚韧收益最大?
看大家都提到队友的增益,我们都加上吧。
蛮子h90吼+40%护甲,和巅峰+25%相加就是+65%
和尚尹娜+40%全抗
100级宝石=500点主属性,500智力=50全抗。50*1.4=70
500力量=500护甲,500*1.65=825护甲,k=825/70=11.786
i=70,m=13 ,
带入公式x(中)=((3500+13000)/11.786-(350+1500)+70*13)/2=230
230/70=3.285 当打3.285个全抗卡时,收益最大!
因为打卡肯定是整数的,收益值是抛物线,关于 x=3.285 这条线对称的,显然3比4离3.285更近。选3。
最终是打3条全抗卡,10条力量卡,收益最大。
实际因巅峰高低,还可能打其他卡,且随着巅峰的增高,加点也会也会变化,也不是无脑堆体能,每秒恢复的EHP也有关系。具体情况再具体分析,这里只是举个例子让大家知道大概怎么算。
P70系列延期,华为新旗舰将在下月发布
3月20日消息,近期博主@数码闲聊站 透露,原定三月份发布的华为新旗舰P70系列延期发布,预计4月份上市。
而博主@定焦数码 爆料,华为的P70系列在定位上已经超过了Mate60,成为了重要的旗舰系列之一。它肩负着重返影像领域顶尖的使命。那么这次P70会带来哪些令人惊艳的创新呢?
根据目前爆料的消息来看,华为P70系列将推出三个版本,其中P70和P70 Pro采用了三角形的摄像头模组设计,而P70 Art则采用了与上一代P60 Art相似的不规则形状设计。这样的外观是否好看见仁见智,但辨识度绝对拉满。
更新动态
- 小骆驼-《草原狼2(蓝光CD)》[原抓WAV+CUE]
- 群星《欢迎来到我身边 电影原声专辑》[320K/MP3][105.02MB]
- 群星《欢迎来到我身边 电影原声专辑》[FLAC/分轨][480.9MB]
- 雷婷《梦里蓝天HQⅡ》 2023头版限量编号低速原抓[WAV+CUE][463M]
- 群星《2024好听新歌42》AI调整音效【WAV分轨】
- 王思雨-《思念陪着鸿雁飞》WAV
- 王思雨《喜马拉雅HQ》头版限量编号[WAV+CUE]
- 李健《无时无刻》[WAV+CUE][590M]
- 陈奕迅《酝酿》[WAV分轨][502M]
- 卓依婷《化蝶》2CD[WAV+CUE][1.1G]
- 群星《吉他王(黑胶CD)》[WAV+CUE]
- 齐秦《穿乐(穿越)》[WAV+CUE]
- 发烧珍品《数位CD音响测试-动向效果(九)》【WAV+CUE】
- 邝美云《邝美云精装歌集》[DSF][1.6G]
- 吕方《爱一回伤一回》[WAV+CUE][454M]





